Space Telescope Science Institute   7.1 Detector basics  7.3 Detector Artifacts

7.2 Detector Characteristics


7.2.1 Overview

Each NICMOS detector comprises 256 × 256 square pixels, divided into 4 quadrants of 128 × 128 pixels, each of which is read out independently. The basic performance of the nominal flight detectors is summarized in Table 7.1. Typically, the read-noise is ~27 e-/pixel. Only a few tens of bad pixels (i.e., with very low response) were expected, but particulates-most likely specks of black paint, see Section 7.3.6-have increased this number to >100 per detector. The gain, ~5-6 e-/ADU, has been set to map the full dynamic range of the detectors into the 16-bit precision used for the output science images.

Table 7.1: Flight Array Characteristics. Please see the following sections, which provide more information for each of the quantities listed.
Characteristics
Camera 1
Camera 2
Camera 3
Dark Current (e- /second)1
0.3
0.3
0.3
Read Noise (e-)2
~26
~26
~29
Bad Pixels (including particles)
213 (0.33%)
160(0.24%)
139(0.21%)
Conversion Gain (e- / ADU)
5.4
5.4
6.5
Well Depth (ADU)
26,900
28,200
32,800
Saturation (ADU)3 (95% Linearity)
21,500
22,500
26,200
50% DQE Cutoff Wavelength (microns)
2.55
2.53
2.52
1These numbers are the typical signal level in a "dark" exposure, and can be used for sensitivity calculations. They contain contributions from linear dark current, amplifier glow, and possibly low-level cosmic ray persistence.
2The quoted readout noise is the RMS uncertainty in the signal of a differenced pair of readouts (measured as the mode of the pixel distribution).
3Saturation is defined as a 5% deviation from an (idealized) linear response curve.

7.2.2 Dark Current

A NICMOS exposure taken with the blank filter in place should give a measure of the detector dark current. However, the signal in such an exposure consists of a number of different components, such as linear dark current, amplifier glow, shading residuals, and possibly low-level cosmic ray persistence. The linear dark current is the signal produced by the minority carriers inside the detector material. It increases linearly with exposure time, hence the name. It can be measured after subtraction of amplifier glow and correction for shading (both of which we will describe below), avoiding exposures that are heavily impacted by cosmic ray persistence. The NICMOS calibration program following the cool down has shown that the dark current levels of all three NICMOS cameras are stable, and does not exceed the values expected for the new operating temperature. This is demonstrated in Figure 7.4, which shows the results of the dark current monitoring program since SM3B.

The anomalously high dark current between 75 K and 85K that was measured during the instrument warm-up in 1999 has not been observed in the Cycle 11 calibration data. The dark current of all three NICMOS cameras is fully consistent with expectations for the new operating temperature of 77.1 K.

The NICMOS Exposure Time Calculator (ETC, see Chapter 9) has been updated to reflect the results of the dark monitoring program.

Figure 7.4: Results from the NICMOS dark current monitoring program following the installation of the NCS. Shown are the monthly (bi-monthly since January 2003) linear dark current measurements for all three NICMOS cameras. Note that the linear dark current is stable within the measurement errors (a typical error bar is shown in the upper left corner).

 

7.2.3 Flat Fields and the DQE

Uniformly illuminated frames-so-called "flat fields"-taken with the NICMOS arrays show response variations on both large and small scales. They also appear to change slightly as a function of time. These fluctuations are due to differences in the (temperature-dependent) Detector Quantum Efficiency (DQE) of the individual pixels. These spatial variations can be corrected in the normal way by flat fielding, which is an essential part of the calibration pipeline. The time dependent variation of the flat fielding, which amounts to between 1% and 3% on average, can be additionally corrected by manually applying small flat field correction (delta flats) to the pipeline calibrated data. The appropriate delta flats and instructions are both available at:

http://www.stsci.edu/hst/nicmos/calibration/reffiles/flatfi
le_list.html.
 

Figure 7.5 compares some of the current flat field exposures to those used in Cycle 7/7N. As can be seen both from the morphology of the images and the histograms of pixel values, the amplitude of DQE variations of all three cameras is much reduced at 77.1 K, thus making the response function "flatter". This behavior is explained by the fact that "cold" pixels (i.e. pixels with a lower than average response) show a higher than average DQE increase with temperature.

Figure 7.5: Normalized pre- and post-NCS flat field responses for NIC1 (left) through NIC3 (right) for F110W, F187W, and F113N, respectively. The images are inverted to better display the grot; therefore, the dark regions have higher QE. The color stretch is the same for both temperatures in each camera. The histograms show the "flattening" of the arrays at the higher temperature (narrower distribution). The decrease in the dynamic range between bright and faint targets is a direct result of the decreased well depth at the higher temperature.

 

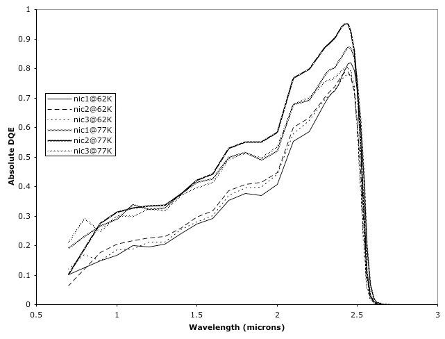
Flat field frames are generated from a pair of "lamp off" and "lamp on" exposures. Both are images of the (random) sky through a particular filter, but one contains the additional signal from a flat field calibration lamp. Differencing these two exposures then leaves the true flat field response. The count rate in such an image is a direct (albeit relative) measure of the DQE. The DQE increase of the three NICMOS cameras between 77.1 K and 62 K as a function of wavelength is presented in Figure 7.6.

Figure 7.6: NICMOS DQE: Comparison between post-SM3B (at operating temperature of 77K) and 1997/1998 (62K) eras.

 

The average response at 77.1 K increased by about 60% at J, 40% at H, and 20% at K. The resulting wavelength dependence of the absolute DQE for NICMOS operations under the NCS is shown in Figure 7.7. Here, we have scaled the pre-launch DQE curve, which was derived from ground testing of the detectors, to reflect the changes measured at the wavelengths of the NICMOS filters. These (somewhat indirect) results have been confirmed by results from the photometric calibration program which uses observations of standard stars to measure the absolute DQE of NICMOS. The fine details in these DQE curves should not be interpreted as detector features, as they may be artifacts introduced by the ground-testing set-up. At the blue end, near 0.9 microns, the DQE at 77.1 K is ~20%; it rises quasi-linearly up to a peak DQE of ~90% at 2.4 microns. At longer wavelengths, it rapidly decreases to zero at 2.6 microns. The NICMOS arrays are blind to longer wavelength emission. When looking at the DQE curve, the reader should bear in mind that this is not the only criterion to be used in determining sensitivity in the near-IR. For example, thermal emission from the telescope starts to be an issue beyond ~1.7 µm. The shot-noise on this bright background may degrade the signal-to-noise obtained at long wavelengths, negating the advantage offered by the increased DQE.

It is important to note, especially for observations of very faint targets for which the expected signal-to-noise is low, that the DQE presented here is only the average for the entire array. Despite the flattening discussed above, the flat field response is rather non-uniform, and thus the DQE curves for individual pixels may differ substantially.

Figure 7.7: Relative increase of the NICMOS DQE as a function of wavelength for operations at 77.1 K, compared to pre-NCS operations at 62 K.

 

7.2.4 Read Noise

Each detector has four independent readout amplifiers, each of which reads a 128 × 128 quadrant. The four amplifiers of each detector generate very similar amounts of read noise. This is illustrated in Figure 7.8, which compares the pixel read noise distributions for the four quadrants of each NICMOS camera. The distributions for all quadrants are relatively narrow, with a FWHM of about 8 electrons, indicating that there are only few anomalously noisy pixels. The read noise is independent of temperature.

For some scientific programs such as ultra-low background observations (e.g. during the HDF campaigns), read noise can become a non-negligible component of the noise floor. The NICMOS group at STScI therefore has explored a method to lower the read noise in NICMOS data by reducing the digitization noise associated with the conversion from electrons to data numbers (DN). This can, in principle, be achieved by using a different conversion factor (i.e. gain) from e- to DN. Under optimal circumstances, this can produce a read noise reduction of 10-15%, resulting in exposures that reach up to 0.1 mag deeper. For details, we refer to Xu & Boeker (2003; NICMOS ISR-2003-006). However, the use of alternate gain settings requires calibration reference files (e.g. flat field or dark exposures) that have been obtained with the same gain. These files will not be obtained during the NICMOS calibration program. In addition, the CALNICA pipeline is currently not able to process such data correctly. Given the large operational overhead and the rather small scientific benefit, we strongly discourage NICMOS users from requesting non-standard gain settings. In exceptional circumstances, such requests will be considered on a case-by-case basis with the understanding that proper calibration of such data is the sole responsibility of the GO.

Figure 7.8: Read noise characteristics of the three NICMOS detectors. Each panel shows the pixel distribution of electronics-induced RMS uncertainties, as measured from a series of difference images of short
(0.2s) DARK exposures.

 

7.2.5 Linearity and Saturation

Throughout Cycle 7, the linearity correction of the calibration pipeline had been based on the assumption that the NICMOS detector response was well approximated by a linear function until pixel counts reached a certain threshold. Therefore, no linearity correction was performed below this point. However, the ongoing NICMOS calibration program has shown that the detector response is in fact (slightly) non-linear over the full dynamic range. Figure 7.9 illustrates this behavior.

Figure 7.9: Count rate as a function of total accumulated counts for a typical NICMOS detector pixel. Note that the pixel response is non-linear (i.e., the count rate is not constant) over the entire dynamic range.

 

A revised linearity correction was therefore implemented in the NICMOS calibration pipeline (Cycle 11 and beyond), which corrects data over the entire dynamic range between zero and the flux level at which the response function deviates by more than 5% from the linear approximation. Pixels that reach this threshold during an exposure are flagged as saturated, and are not corrected during the pipeline processing. This saturation point typically occurs at about 80% of the well depth.

7.2.6 Count Rate Non-Linearity

NICMOS has a significant count rate dependent non-linearity that also depends on wavelength as described in Section 4.2.4. While we have no physical explanation for the effect at the time of this writing, we currently assume it arises in the detector. Objects fainter than the NICMOS st6andard stars of about the 12th magnitude will be measure too faint, objects that are brighter than our stands will seem too bright. The maximum offsets on dark sky backgrounds at F110W are about 0.25 mag in NIC1 and NIC2, and about 0.16 mag in NIC3. Software has been developed to linearize the counts in imaging observations. More details on the effect and how to correct for it can be found at:

http://www.stsci.edu/hst/nicmos/performance/anomalies/nonli
nearity.html.
 

 7.1 Detector basics  7.3 Detector Artifacts
Space Telescope Science Institute
http://www.stsci.edu
Voice: (410) 338-1082
help@stsci.edu