Space Telescope Science Institute   4.1 Filters and Optical Elements  4.3 Focus History

4.2 Photometry


Ground-based near-infrared observations are limited to a set of transparent atmospheric windows, while NICMOS suffers no such restrictions. For this reason, there are no suitable faint flux standards with continuous, empirical spectrophotometry throughout the 0.8 µm < < 2.5 µm range. The absolute flux calibration of NICMOS, therefore, has been calculated using observations of stars for which reliable spectral models, normalized by ground-based photometry, are available. Two types of flux standards have been observed: pure hydrogen white dwarfs, and solar analog stars. Grism sensitivity is determined directly from flat-field corrected spectra of these stars using their known spectral energy distributions. Filter sensitivities are calculated from imaging measurements according to the synthetic photometry procedure detailed in Koornneef and Coole (1981, ApJ, 247, 860). Since the pipeline calibration cannot utilize color information, the headers of reduced data contain the calibration constant that specifies the equivalent count rate for a spectral energy distribution that is constant with wavelength. For convenience, this calibration constant appears twice, once in Jansky units and once in erg/s/cm2/Angstrom units.

4.2.1 Solar Analog Absolute Standards

For calibration using solar analogs, a reference spectrum of the Sun is normalized to the flux levels of the NICMOS standards using ground-based photometry of the standard stars in the J, H and K bands. This continuous spectral model is then integrated through the total system throughput function for a given bandpass (including filter, detector, instrument and telescope optics), and the integral flux is compared to the measured count rate from the star in observations through that filter to derive the flux calibration constants. The absolute flux accuracy achieved by this method relies on two assumptions:

  1. that the calibrated reference spectrum of the Sun is known with an uncertainty of a few percent (Colina, Bohlin and Castelli, 1996), and
  2. that the near-infrared spectra of the solar analogs are nearly identical to that of the sun.

In the past, this method was used to determine the absolute calibration of near-infrared photometry at ground-based observatories. In these cases, the absolute calibration accuracy was estimated to be at least 5%, and for some bands 2% to 3% (Campins, Rieke and Lebofsky, 1985). Indeed, NICMOS calibration depends in part on the accuracy of this absolute flux calibration of the ground-based photometric system.

Ground-based photometry by Persson et al. (1998, AJ, 116, 2475) of several solar analog stars used in the NICMOS calibration program has shown that the stars P330E and P177D (see Bohlin, Dickinson & Calzetti 2001, AJ, 112, 2118; Colina & Bohlin 1997, AJ, 113, 1138; Colina, Bohlin & Castelli 1996, AJ, 112, 307) are most closely matched to the colors of the Sun, and are thus most suitable for NICMOS photometric calibration. P330E is the primary NICMOS solar analog standard for photometric calibration.

4.2.2 White Dwarf Absolute Standards

Pure hydrogen white dwarfs are useful calibration standards because their spectral energy distributions can be accurately modeled from the UV through the near-IR (Bohlin, Dickinson & Calzetti 2001, AJ, 112, 2118; Bohlin 1996, AJ, 111, 1743; Bohlin, Colina & Finley 1995, AJ, 110, 1316). The star G191B2B has therefore served as a primary calibration standard for several HST instruments and was selected for NICMOS observation along with another star, GD153. Using the most up-to-date white dwarf atmosphere models, normalized to the most accurate STIS optical/UV spectra of G191B2B, Bohlin, Dickinson & Calzetti (2001) find satisfactory agreement between the white dwarf and solar analog stars for NICMOS photometric calibration.

4.2.3 Photometric Throughput and Stability

During Cycle 7, NICMOS throughput (i.e. photoelectrons per second detected from a source with given flux) was generally within 20% of pre-launch expectations in all observing modes. At the new, warmer temperature under NCS operations, the detector quantum efficiency is higher at all wavelengths, with the largest improvements at shorter wavelengths. Hence, the photometric zeropoints are significantly different with the NCS in operation compared with Cycle 7. The latest zeropoints are always given at the NICMOS Photometry web page available at:

http://www.stsci.edu/hst/nicmos/performance/photometry).
 

The photometric stability of NIC1 and NIC2 in Cycle 7 was monitored once a month, and more frequently near the end of the NICMOS Cryogen lifetime. Observations of the solar analog P330E were taken through a subset of filters (5 for NIC1, 6 for NIC2) covering the entire wavelength range of the NICMOS cameras, and dithered through three or four pointings. NIC3 has also been monitored in a similar fashion, although only two filters were used for part of the instrument's lifetime. For most filters and cameras the zeropoints have been stable to within 3% throughout the lifetime of the instrument, although in Cycle 7 there was a small secular drift as the instrument temperature changed.

The monitoring program continued in Cycle 11 and beyond after the cryocooler was installed. Four filters in each of the cameras were monitored using solar analog P330E. With the switch to Two Gyro Mode in Cycle 14 the white dwarf standard G191B2B was added to the monitoring program to ensure year-round coverage. In the three years since the cooler installation we have seen a decrease of about 2% ion sensitivity in NIC2 for all filters. A similar effect may be present in the other cameras, but this is hard to confirm, due to the larger noise in the photometry in these cameras. No satisfactory explanation has yet been found for this decrease in sensitivity.

4.2.4 Count Rate Dependent Non-linearity

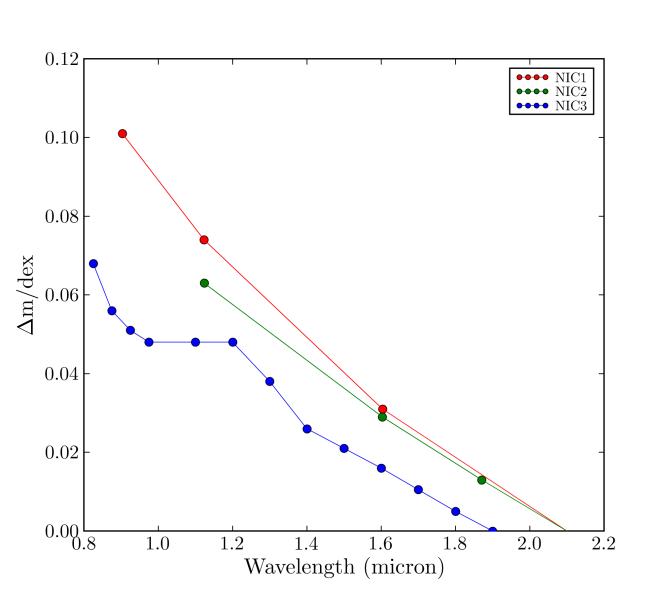
The NICMOS team had determined that NICMOS has a significant count rate dependent non-linearity that also depends on wavelength. This is a different nonlinearity from the well-known total count dependent non-linearity. The non-linearity amounts to 0.05-0.10 mag offset per dex change in incident flux for the shortest wavelength (F090M and F110W), about 0.03 mag/dex at F160W and less than that at longer wavelengths (see Figure 4.4). Objects fainter than the NICMOS standard stars of about 12th magnitude will be measured too faint, objects that are brighter than our standards will seem too bright. The effect depends entirely on the incoming flux rate, so any objects fainter than the night sky (or on top of a bright object) will have a non-linearity offset determined by the background flux. This means that the maximum offsets on dark sky backgrounds at F110W are about 0.25 mag in NIC1 and NIC2, and about 0.16 mag in NIC3. Software has been developed to linearize the counts in imaging observations. More details on the effect and how to correct for it can be found at:

http://www.stsci.edu/hst/nicmos/performance/anomalies/nonli
nearity.html.
 
Figure 4.4: Wavelength dependent non-linearity amounts for all three cameras.

 

4.2.5 Intrapixel Sensitivity Variations

The response of a pixel in the NICMOS detectors to light from an unresolved source varies with the positioning of the source within the pixel due to low sensitivity at the pixel's edges and dead zones between pixels. The interpixel sensitivity was found to be an important effect and it varies by as much as 30%. This effect has no impact on observations of resolved sources, and little effect on well-sampled point sources (e.g. observations with NIC1 and NIC2 through most filters). However in NIC3, point sources are badly under-sampled, especially at short wavelengths where the telescope diffraction limit is much smaller than the NIC3 pixel size. Therefore, object counts may vary by as much as 30% depending on the wavelength positioning of a star within a pixel. Well-dithered exposures will average out this effect, but NIC3 observations of stars with few dither positions can have significant uncertainties which may limit the achievable quality of point source photometry.

The intrapixel sensitivity in Cycle 7 and possible post-processing solutions are discussed in Storrs et al. (1999, NICMOS ISR-99-005) and Lauer (1999, PASP, 111, 1434). This was also investigated for NIC3 in Cycle 11, after the installation of cryo-cooler (C. Xu and B. Mobasher 2003, NICMOS ISR-2003-009).

Compared to Cycle 7, the intrapixel sensitivity in Cycle 11 is found to decrease by 27% for both F110W and F160W filters. This is likely due to the increase in the detector temperature (and electron mobility) in Cycle 11, leading to a higher rate of electrons absorption by diodes.

4.2.6 Special Situations

Sources with Extreme Colors

We have carried out tests to establish the likely impact on photometric observations of sources of extreme colors induced by the wavelength-dependent flat field. This contributes at most a 3% photometric error for sources with unknown colors. For each filter, we used two sources with different colors assuming the spectral energy distributions to have black-body functions. The first case had a color temperature of 10,000K, and thus is typical of stellar photospheres and the resultant color is representative of the bluer of the sources that will be seen with NICMOS. (It is worth noting that for reflection nebulae illuminated by hot stars, a significantly bluer spectrum is often seen.) The second source had a color temperature of 700K which in ground-based terms corresponds to [J-K] = 5, a typical color encountered for embedded sources, such as Young Stellar Objects (YSOs). (Again, there are sources which are known to be redder. The Becklin-Neugebauer object, for example, has no published photometry at J, but has [H-K] = 4.1, and the massive YSO AFGL2591 has [J-K] = 6.0. YSOs with [J-K] = 7 are known, although not in large numbers.)

An example of a pair of simulated spectra is shown Figure 4.5, for the F110W filter. In this filter an image of a very red source will be dominated by the flat field response in the 1.2 to 1.4 micron interval, while for a blue source the most important contribution will come from the 0.8 to 1.0 micron interval. The results of our study for the most affected filters are shown in Table 4.4. The other filters are better.

Figure 4.5: Detected Source Spectrum. These are for sources with color temperatures of 700K (solid line) and 10,000K (dashed line). It is easy to see that the detected image will be dominated by the flat field response in the 1.2-1.4 µm region for a 700K source, while for a 10,000K source the detected image will be affected by the flat field response throughout the filter bandpass.

 

Extended Sources with Extreme Spatial Color
Variations

So far, the analysis has been limited to point sources, but some mention should be made of the situation for extended objects. A good example is the YSO AFGL2591. This has an extremely red core of [J-K] = 6, and is entirely undetected optically. However, it also has a large IR nebula which is quite prominent at J and K, and in the red visual region, but much fainter at L, and which is probably a reflection nebula. Spatially, the nebula has highly variable color, some parts of it having fairly neutral or even slightly blue colors in the NICMOS waveband, while other parts are extremely red. Obtaining very accurate measurements of the color of such a source requires the use of images at more than one wavelength and an iterative tool of the kind described earlier. A further example of this kind of complicated object is the prototypical post-AGB object CRL2688, the Cygnus Egg Nebula, which has an extremely blue bipolar reflection nebula surrounding an extremely red core. Techniques which require very accurate measurements of the surface brightness of extended objects, such as the brightness fluctuation technique for distant galaxies, will need to be applied with care given to the photometric uncertainties such as those discussed here.

Creating Color-Dependent Flat Fields

NICMOS ISR-99-002 describes two methods for creating color-dependent flat fields. We have included programs and calibration files for making these flat fields in the software part of the web site. One way of approaching the problem is to make monochromatic flats by doing a linear least squares fit to several narrowband (and, if necessary for increased wavelength coverage) medium band flats, for each pixel. The slope and intercept images that result from such a fit can be used to determine the detector response to a monochromatic source. This method works best if the desired wavelength is within the range covered by the observed flats; extrapolation with this method gives questionable results.

If the source spectrum is known, a composite flat made from the weighted sum of the narrowband flats in the passband of the observed image can be made. The IRAF script, interflat.cl, uses an input spectrum and the calibration database in STSDAS to compute composite flats. This script is downloadable from:

http://www.stsci.edu/hst/nicmos/tools/colorflat_intro.html.
 

If you have a variety of sources in your image you may want to make several flat fields and apply them to regions defined by some criterion, like color as defined by a couple of narrowband images on either side of the broadband image.


 4.1 Filters and Optical Elements  4.3 Focus History
Space Telescope Science Institute
http://www.stsci.edu
Voice: (410) 338-1082
help@stsci.edu